Sugerencias
Compartir
Información de la revista
Visitas
223
Vol. 50. Núm. 1.
(Enero 2026)
Original article
Acceso a texto completo
Association between time weighted average mechanical power normalized to compliance and prognosis of critically ill patients: A retrospective cohort study based on the MIMIC-IV database
Asociación entre la potencia mecánica promedio ponderada en el tiempo normalizada al cumplimiento y el pronóstico de pacientes críticos: un estudio de cohorte retrospectivo basado en la base de datos MIMIC-IV
Visitas
223
Yukang Donga,b,, Guiyun Lic,, Jiangquan Fud, Rui Huangd, Huan Yaoe,f, Jingni Wanga, Ying Wanga, Feng Shena,
Autor para correspondencia
doctorshenfeng@163.com

Corresponding author.
a Department of Intensive Care Unit, Guizhou Medical University Affiliated Hospital, Guiyang, China
b Department of Emergency, Guizhou Provincial People’s Hospital, Guiyang, China
c Department of Emergency, The Second People's Hospital of Guiyang, Guiyang, China
d Department of Emergency Intensive Care Unit, Guizhou Medical University Affiliated Hospital, Guiyang, China
e Xiangya School of Nursing, Central South University, Changsha, Hunan, China
f Nursing Department, Guizhou Provincial People’s Hospital, Guiyang, Guizhou, China
Este artículo ha recibido
Información del artículo
Resumen
Texto completo
Bibliografía
Descargar PDF
Estadísticas
Figuras (4)
Mostrar másMostrar menos
Tablas (2)
Table 1. Baseline characteristics and clinical outcomes of the included patients.
Tablas
Table 2. Multivariable logistic regression analyses of TWA-MPCRS and ICU and in-hospital mortality.
Tablas
Mostrar másMostrar menos
Material adicional (1)
Abstract
Objective

This study aims to evaluate the association of time‑weighted average mechanical power normalized to compliance (TWA-MPCRS) with all-cause mortality to determine its value as a prognostic tool in intensive care patients.

Design

Retrospective observational study.

Setting

Intensive care unit (ICU).

Patients or participants

4387 first-time ICU-admitted patients in the Medical Information Mart for Intensive Care (MIMIC) IV.

Interventions

None.

Main variables of interest

TWA-MPCRS, ICU mortality and in-hospital mortality.

Results

Participants' mean age was 61.4 ± 16.9 years and the median [IQR] baseline TWA-MPCRS was 0.3 (0.2, 0.6) J/min/mL/cmH2O. When TWA-MPCRS was divided into quintiles (with quintile 1 representing the lowest values), after adjusting for covariates, the odds ratios [95% confidence intervals (CIs)] for ICU mortality were 1.49 (95% CI: 1.15–1.94), 1.67 (95% CI: 1.29–2.16), 1.79 (95% CI: 1.37–2.33), and 3.96 (95% CI: 3.01–5.21) for quintiles 2, 3, 4, and 5 respectively, with quintile 1 as reference. Similar results were found for hospital mortality.

Conclusion

Higher TWA-MPCRS is associated with poor clinical outcomes in critically ill patients. Higher TWA-MPCRS can lead to a higher mortality among ICU and in-hospital patients.

Keywords:
Critically ill
Mechanical ventilation
Mechanical power normalized to compliance
Retrospective cohort study
MIMIC IV
Abbreviations:
ARDS
AUC
BMI
bpm
COPD
CRS
FiO2
ICU
IQR
MAP
MIMIC
MP
OR
PaCO2
PaO2
PBW
PEEP
PF
Ppeak
ROC
RRT
SAPS
SD
SOFA
SpO2
SQL
TWA
VIF
VILI
Vt
Resumen
Objetivo

Este estudio tiene como objetivo evaluar la asociación entre la potencia mecánica promedio en el tiempo y normalizada por la complianza (TWA-MPCRS) y la mortalidad por todas las causas, con el fin de determinar su valor como herramienta pronóstica en pacientes de cuidados intensivos.

Diseño

Estudio observacional retrospectivo.

Entorno

Unidad de Cuidados Intensivos (UCI).

Pacientes o participantes

4387 pacientes ingresados por primera vez en la UCI, seleccionados de la base de datos Medical Information Mart for Intensive Care (MIMIC) IV.

Intervenciones

Ninguna.

Variables de interés principales

TWA-MPCRS, mortalidad en la UCI y mortalidad hospitalaria.

Resultados

La edad promedio de los participantes fue de 61.4 ± 16.9años, y la mediana [IQR] de TWA-MPCRS basal fue de 0.3 (0.2, 0.6) J/min/mL/cmH2O. Cuando el TWA-MPCRS se dividió en quintiles (siendo el quintil 1 el de los valores más bajos), tras ajustar por covariables, las razones de odds [intervalos de confianza (IC) del 95%] para la mortalidad en UCI fueron 1.49 (IC 95%: 1.15–1.94), 1.67 (IC 95%: 1.29–2.16), 1.79 (IC 95%: 1.37–2.33) y 3.96 (IC 95%: 3.01–5.21) para los quintiles 2, 3, 4 y 5, respectivamente, teniendo el quintil 1 como referencia. Se encontraron resultados similares para la mortalidad hospitalaria.

Conclusión

Un TWA-MPCRS más alto se asocia con peores resultados clínicos en pacientes críticos. Un TWA-MPCRS más elevado puede conducir a una mayor mortalidad entre los pacientes en la UCI y en el hospital.

Palabras clave:
Pacientes críticos
Ventilación mecánica
Potencia mecánica normalizada por complianza
Estudio de cohorte retrospectivo
MIMIC IV
Texto completo
Introduction

High-intensity mechanical ventilation in critically ill patients under general anesthesia or with respiratory failure increases the risk of ventilator-induced lung injury (VILI). VILI occurs when small airways and alveoli are repeatedly opened and closed, or become over-distended.1,2 Lung-protective ventilation is recommended in acute respiratory distress syndrome (ARDS) management to reduce VILI and improve mortality in acute respiratory failure patients.3–6 Previous studies have linked parameters such as end expiration pressure (PEEP) and driving pressure to poor outcomes in invasive ventilation,7–10 and factors like flow and breathing frequency also contribute to tissue injury. However, tidal volume (Vt) and end-expiratory lung impedance remain primary contributors to VILI-associated stress and strain.11 Mechanical power (MP)—which integrates Vt, driving pressure, airflow, and frequency—quantifies the work rate on the lungs and has been proposed as a predictor of VILI pathogenesis.4,12,13

Mechanical ventilation generates mechanical stress and strain within the respiratory system. The magnitude of this load, known as the intensity of ventilation, can be quantified by MP, which is independently associated with mortality in both Intensive care unit (ICU) and ARDS patients.14–16 Importantly, the risk of VILI at a given MP depends on factors such as lung size, recruitability, and homogeneity,11,17,18 often referred to as the “baby lung” concept.19,20 Therefore, adjusting MP by normalizing it to compliance of respiratory system (MPCRS) accounts for functional lung size and may improve prognostic accuracy in ARDS patients, as recently demonstrated.20,21 However, it remains unclear whether MPCRS predicts outcomes across all mechanically ventilated ICU patients, as relatively few studies have explored this. This study thus aims to evaluate the association of time-weighted average MPCRS (TWA-MPCRS) with all-cause mortality to assess its prognostic value in the intensive care setting.

MethodsData source

The data used in this retrospective cohort study was obtained from the Medical Information Mart for Intensive Care (MIMIC)-IV (2.0). This database contains clinical data for patients hospitalized at the Beth Israel Deaconess Medical Center from 2008 to 2019. To access pertinent data from MIMIC-IV, our team successfully completed the Protecting Human Research Participants test and the National Institutes of Health training course and the accompanying exams (certification number: 44545022/39719844). The guidelines for “Strengthening the Reporting of Observational Studies in Epidemiology” were used to report the findings in this article.22

Study population

Patients listed in the MIMIC IV database who underwent invasive mechanical ventilation were eligible for inclusion in this study. The inclusion criteria were as follows: (1) receipt of invasive ventilation initiated within 24 h of ICU admission; (2) patients receiving invasive ventilation for at least 48 consecutive hours; (3) patients aged ≥18 years; and (4) only the first ICU admission was considered.14 The exclusion criteria were as follows: Patients for missing ventilation variables associated to MPCRS. The percentage of missing values for all participants is summarized in Supplementary Table 1. To impute the missing values, a multivariate imputation approach using chained equations was employed, assuming that the missingness was random.

Date extraction

The data were extracted using Structured Query Language (SQL) and PostgreSQL (version 9.6). Key demographic data were collected (within 24 h of admission), including age, gender, race (white, black or other), Body mass index (BMI), simplified acute physiology II (SAPS II) score, and sequential organ failure assessment (SOFA) score. Predicted body weight (PBW) was calculated as follows: 50 + 0.91 × [height (cm) − 152.4] (for male); 45.5 + 0.91 × [height (cm) −152.4] (for female). On the first day of ICU admission, the average values of vital signs and laboratory parameters were recorded. Intervention measures within 24 h of ICU admission, including vasoactive drug administration, renal replacement therapy (RRT) and fluid balance. The time and value of ventilation parameters on the second day of mechanical ventilation, including Vt, PEEP, peak inspiratory pressure (Ppeak), total respiratory rate, and fraction of inspired oxygen (FiO₂), were extracted for further calculation. Invasive ventilation data at all time points were collected from the database (typically every 4 h, which may vary depending on the individual condition), thus allowing us to calculate the corresponding dynamic MP and its associated exposure duration (until the next recorded time point).

The reason we analyzed ventilation parameters from the second 24-h period is that, during the initial phase—particularly the first 24 h—patients commonly undergo rapid changes in respiratory parameters,23 treatment strategies, and organ function. This period often reflects acute stress responses and temporary interventions, requiring time for patients to adapt to ventilator settings.24 In contrast, the 24–48 h window is more likely to provide ventilation parameters that represent a near-steady state, allowing for a more accurate assessment of ventilator-induced lung stress and injury risk. Previous studies have also identified the second day as a key time point at which MP can serve as a valuable predictor of patient outcomes.14,25,26

Study endpoint and calculations

The primary outcome was ICU, while secondary outcome was in-hospital mortality. MP was estimated as follows:

MP(J/min) = 0.098 × respiratory rate × tidal volume × (Ppeak – 0.5 × dynamic ΔP),11,27 where the dynamic driving pressure (ΔP) = Ppeak – PEEP7,27
MPCRS = MP/(dynamic lung compliance)18,28,29
Where dynamic lung compliance = Vt/dynamic ΔP

Since ventilation is a dynamic process, we calculated the time-weighted average MP (TWA-MP) and TWA-MPCRS over the second 24 h of ventilation. For each patient, the multiplicative product of the MPCRS and the duration of exposure to that MPCRS were obtained. The products were summed up and divided by the total duration of ventilation observation time to obtain the TWA-MPCRS, using the following equation:

TWA-MPCRS = ∑ (MPCRS i × ΔTi) ÷ ∑ ΔTi

The ith MPCRS measurement was recorded as MPCRS i, the time interval between the ith and the i + 1th MPCRS measurement was recorded as ΔTi. TWA-MP was calculated using the same method as TWA-MPCRS.

Statistical analysis

Before performing statistical analysis, the missing values for other variables were first supplemented. Patient characteristics were analyzed in the groups based on MPCRS quartiles. Categorical variables were described using frequency and percentages, whereas continuous variables were described using median with quartile range (IQR) for skewed distributions and mean with standard deviation (SD) for normally distributed data. Chi-square, one-way analysis of variance, or Kruskal-Wallis tests, as appropriate, was applied to the continuous variables of classification, normal distribution, and non-normal distribution. To study the association between the TWA-MPCRS and ICU or in-hospital mortality, both univariable linear regression and multivariate logistic regression analyses were conducted. We developed three models: the model 1(with no covariates adjusted), model 2 (with age, gender and BMI adjusted); and model 3 (model 2 with additional covariates). To assess potential confounders, we entered the covariates one by one into the subsequent binary logistic regression model and eliminated them from the complete model. Covariates that were associated with clinical prognosis or whose initial regression coefficient changed by more than 10% were chosen as confounders. To avoid overfitting the model due to multicollinearity among variables, a variance inflation factor (VIF) was calculated as well. Variables with VIF ≥ 5 were excluded (Supplementary Table 2).

We flexitively modeled and visualized the association between TWA-MPCRS and ICU and in-hospital mortality using restricted cubic splines. Based on the quintiles, TWA-MPCRS was first converted into a categorical variable. The resulting P value was used to explore a nonlinear pattern of association. The TWA-MPCRS, as a continuous variable, was then used to test the linear trend. In addition, receiver operating characteristic (ROC) analysis was performed to compare the predictive power of SOFA score, TWA-MP, and TWA-MPCRS for ICU mortality. The model’s performance was evaluated using calibration plots and the Hosmer-Lemeshow goodness-of-fit test (with P > .05 indicating satisfactory calibration).

For sensitivity analysis, interaction and stratified analyses were conducted based on age, gender, BMI, ventilation parameter (PEEP, Ppeak, Vt and compliance), disease severity score (SAPSII score and SOFA score), and comorbidities [Congestive heart failure, chronic obstructive pulmonary disease (COPD) and ARDS]. We also conducted sensitivity analyses restricted to survivors for both hospital length of stay and ICU length of stay. In addition, we used complete data to determine whether sensitivity analysis was stable compared with the results of raw data analysis. All data were analyzed using R 4.1.2 (R Foundation) 1 and Free Statistics version 1.9, with P < .05 as the significance level.

ResultsBaseline characteristics of patients

Fig. 1 shows a flowchart depicting the study process. Based on the inclusion/exclusion criteria, a total of 4387 eligible patients, with a mean age of 61.4 ± 16.9 years, were enrolled, comprising 2531 men (57.7%) and 1856 women. The median [IQR] baseline TWA-MPCRS was 0.3 (0.2, 0.6) J/min/mL/cmH2O. The population characteristics by TWA-MPCRS quintile are provided in Table 1. Participants, who received a higher level of TWA-MPCRS, presented with a higher level of BMI, SAPS II values, SOFA values, heart rate, arterial partial pressure of carbon dioxide (PaCO2), lactate and fluid balance but had lower age, mean arterial blood pressure (MAP), pulse oxygen saturation (SpO2), PH, arterial partial pressure of oxygen (PaO2), bicarbonate and PaO2/FiO2 ratio (PF ratio). It was also found that congestive heart failure, cerebrovascular disease, COPD, and sepsis significantly differed between the stratified groups. Additionally, patients in the high TWA-MPCRS group had higher rates of vasoactive drugs and RRT, as well as higher fluid balance than patients in the low TWA-MPCRS group. With an increase in TWA-MPCRS, there was an increase in PEEP, dynamic driving pressure, Ppeak, total respiratory rate, FiO2 and TWA-MP (Table 1).

Figure 1.

A flow chart of patient inclusion procedure. Abbreviations: ICU, intensive care unit; MP, mechanical power; CRS, compliance of respiratory system.

Table 1.

Baseline characteristics and clinical outcomes of the included patients.

Variables  Total (n = 4387)  TWA-MPCRS quintiles (J/min/mL/cmH2O)P value 
    Q1 (0.01−0.14) (n = 878)  Q2 (0.14−0.27) (n = 877)  Q3 (0.27−0.41) (n = 877)  Q4 (0.41−0.67) (n = 877)  Q5 (0.67−1.49) (n = 878)   
Age, (years)  61.4 ± 16.9  63.6 ± 15.7  62.9 ± 17.1  62.0 ± 17.8  60.9 ± 17.2  57.6 ± 16.1  <.001 
Gender, (male)  2531 (57.7)  504 (57.4)  502 (57.2)  487 (55.5)  517 (59)  521 (59.3)  .504 
BMI, (kg/m229.7 ± 8.5  27.9 ± 6.8  28.0 ± 7.7  29.1 ± 7.3  30.4 ± 7.9  33.1 ± 10.8  <.001 
Ethnicity              .543 
White  2321 (52.9)  474 (54)  459 (52.3)  448 (51.1)  477 (54.4)  463 (52.7)   
Black  328 (7.5)  57 (6.5)  77 (8.8)  66 (7.5)  69 (7.9)  59 (6.7)   
Other  1738 (39.6)  347 (39.5)  341 (38.9)  363 (41.4)  331 (37.7)  356 (40.5)   
SAPS II score  45.5 ± 15.6  41.7 ± 14.5  43.5 ± 15.0  45.6 ± 15.3  46.3 ± 15.6  50.4 ± 16.2  <.001 
SOFA score  9.3 ± 4.3  7.8 ± 4.0  8.1 ± 4.0  9.0 ± 4.0  9.9 ± 4.0  11.6 ± 4.2  <.001 
Congestive heart failure, n (%)  1136 (25.9)  172 (19.6)  226 (25.8)  245 (27.9)  258 (29.4)  235 (26.8)  <.001 
Cerebrovascular disease, n (%)  934 (21.3)  138 (15.7)  193 (22)  215 (24.5)  207 (23.6)  181 (20.6)  <.001 
Renal_disease, n (%)  802 (18.3)  146 (16.6)  162 (18.5)  164 (18.7)  176 (20.1)  154 (17.5)  .416 
COPD, n (%)  710 (16.2)  112 (12.8)  111 (12.7)  127 (14.5)  163 (18.6)  197 (22.4)  <.001 
ARDS, n (%)  903 (20.6)  93 (10.6)  131 (14.9)  165 (18.8)  211 (24.1)  303 (34.5)  <.001 
Sepsis, n (%)  3974 (90.6)  760 (86.6)  762 (86.9)  785 (89.5)  812 (92.6)  855 (97.4)  <.001 
Vasopressor use, n (%)  2650 (60.4)  396 (45.1)  467 (53.2)  527 (60.1)  592 (67.5)  668 (76.1)  <.001 
RRT use, n (%)  346 (7.9)  37 (4.2)  53 (6)  61 (7)  75 (8.6)  120 (13.7)  <.001 
Fluid balance(L)  4.4 ± 5.5  3.2 ± 4.2  3.5 ± 4.7  3.9 ± 5.6  5.0 ± 5.8  6.5 ± 6.3  <.001 
Heart rate, (bpm)  88.1 ± 17.5  85.6 ± 16.2  85.8 ± 16.3  86.5 ± 17.8  88.2 ± 17.0  94.2 ± 18.7  <.001 
MAP, (mmHg)  77.4 ± 9.7  78.5 ± 9.7  78.4 ± 10.1  77.5 ± 9.4  76.6 ± 9.4  76.0 ± 9.5  <.001 
Temperature, °C  37.0 ± 0.8  37.1 ± 0.6  37.0 ± 0.7  36.9 ± 0.8  36.9 ± 0.9  36.9 ± 1.0  <.001 
SpO2, %  98.0 (96.4, 99.2)  98.7 (97.5, 99.5)  98.6 (97.0, 99.5)  98.2 (96.8, 99.4)  97.6 (96.3, 98.8)  96.5 (94.8, 98.2)  <.001 
PF ratio  257.3 ± 112.6  297.5 ± 117.9  288.1 ± 117.8  268.8 ± 106.7  236.4 ± 99.8  195.6 ± 85.8  <.001 
Hemoglobin, (g/L)  10.9 ± 2.5  10.9 ± 2.3  10.9 ± 2.4  10.8 ± 2.4  10.9 ± 2.4  11.1 ± 2.7  .098 
pH  7.3 ± 0.1  7.4 ± 0.1  7.4 ± 0.1  7.3 ± 0.1  7.3 ± 0.1  7.3 ± 0.1  <.001 
PaCO2, (mmHg)  44.1 ± 14.0  40.1 ± 10.3  42.0 ± 11.9  42.8 ± 12.8  45.4 ± 13.9  50.1 ± 17.7  <.001 
PaO2, (mmHg)  153.7 ± 117.1  157.7 ± 111.0  163.9 ± 121.6  158.4 ± 123.0  155.0 ± 121.4  133.7 ± 105.4  <.001 
Bicarbonate, (mmol/L)  21.7 ± 5.3  21.5 ± 4.4  22.2 ± 5.0  21.8 ± 5.0  21.8 ± 5.9  21.3 ± 5.8  .006 
Lactate (mmol/L)  2.0 (1.3, 3.4)  1.7 (1.2, 2.7)  1.9 (1.3, 3.1)  2.0 (1.3, 3.4)  2.1 (1.4, 3.9)  2.3 (1.4, 4.3)  <.001 
FiO2, %  35.1 ± 14.8  32.6 ± 11.6  33.4 ± 12.3  33.4 ± 13.5  35.6 ± 14.9  40.7 ± 19.1  <.001 
Ppeak (cm H2O)  21.2 ± 7.1  12.5 ± 2.1  17.1 ± 2.5  20.6 ± 2.6  24.6 ± 2.8  31.2 ± 4.6  <.001 
Vt (mL/kg PBW)  7.8 ± 3.7  8.9 ± 5.6  7.8 ± 5.1  7.6 ± 2.2  7.4 ± 1.6  7.2 ± 1.4  <.001 
Dynamic driving pressure (cm H2O)  13.6 ± 5.4  7.0 ± 1.7  10.8 ± 2.3  13.9 ± 2.7  16.4 ± 3.1  20.0 ± 4.5  <.001 
PEEP, (cm H2O)  7.6 ± 3.6  5.5 ± 1.3  6.3 ± 2.3  6.7 ± 2.5  8.3 ± 3.2  11.3 ± 4.6  <.001 
Total respiratory rate(breaths/min)  20.4 ± 5.5  16.8 ± 4.7  18.4 ± 4.3  19.6 ± 4.4  21.2 ± 4.3  25.9 ± 5.1  <.001 
Lung compliance (mL/H2O)  34.9 (26.8, 54.3)  77.9 (63.6, 97.3)  45.5 (37.3, 57.1)  33.2 (29.1, 40.0)  28.9 (24.7, 33.9)  23.5 (19.7, 28.0)  <.001 
TWA-MP (J/min)  11.9 (8.4, 17.2)  7.0 (5.8, 8.7)  9.0 (7.6, 11.4)  11.2 (9.7, 13.3)  15.0 (12.8, 18.0)  22.9 (18.5, 28.7)  <.001 
TWA-MPCRS (J/min/mL/cm H2O)  0.3 (0.2, 0.6)  0.1 (0.1, 0.1)  0.2 (0.2, 0.2)  0.3 (0.3, 0.4)  0.5 (0.5, 0.6)  0.9 (0.8, 1.2)  <.001 
Length of hospital stay (days)  18.3 ± 15.8  19.2 ± 17.5  18.1 ± 13.9  17.4 ± 15.0  18.3 ± 15.3  18.5 ± 16.9  .209 
Length of ICU stay (days)  10.6 ± 8.6  9.5 ± 7.2  9.9 ± 7.8  10.2 ± 8.6  11.0 ± 8.5  12.5 ± 10.4  <.001 
Ventilator-free days  2.0 ± 2.9  2.2 ± 3.2  2.1 ± 2.8  2.0 ± 3.1  1.8 ± 2.5  1.7 ± 2.9  .003 
ICU mortality, n (%)  1015 (23.1)  124 (14.1)  176 (20.1)  197 (22.5)  198 (22.6)  320 (36.4)  <.001 
Hospital mortality, n (%)  1292 (29.5)  199 (22.7)  243 (27.7)  245 (27.9)  248 (28.3)  357 (40.7)  <.001 

For skewed variables, the data were presented as mean ± SD or median (IQR), and for categorical variables, as numbers (proportions). SAPSII, Simplified acute physiology score II; SOFA, Sequential Organ Failure Assessment; RRT, renal replacement therapy; ARDS, acute respiratory distress syndrome; COPD, chronic obstructive pulmonary disease; bpm, beats per minute; MAP, mean arterial blood pressure; SpO2, pulse oxygen saturation; PaCO2, arterial partial pressure of carbon dioxide; PaO2, arterial partial pressure of oxygen; Ppeak, peak inspiratory pressure; Vt, tidal volume; PEEP, positive end-expiratory pressure; PF ratio, PaO2/FiO2 ratio; MP, mechanical power; CRS, compliance of respiratory system.

Association between TWA-MPCRS and outcomes

Compared to patients with lower TWA-MPCRS, those with higher TWA-MPCRS experienced fewer ventilator-free days, longer ICU stays, higher ICU mortality, and increased hospital mortality rates (Table1). The results of univariate analysis of variables and ICU and in hospital mortality are shown in Supplemental Tables 3–4. Further, we used multivariable logistic regression analyses to assess the association of TWA-MPCRS with all-cause ICU and in-hospital mortality in critically ill patients requiring mechanical ventilation (Table 2). After adjusting for age/gender/BMI (model 2), we found that TWA-MPCRS was significantly associated with a higher risk of ICU mortality (OR, 4.27; 95% CI, 3.46∼5.26; P < .001). Notably, even after adjusting for all potential covariates (model 3), this association remained strong with TWA-MPCRS as a continuous variable (OR, 4.10; 95%CI, 3.19∼5.26; P < .001; Table 2). A similar trend was observed for in-hospital mortality (Table 2). After adjusting for ICU mortality, ORs, in Q2, Q3, Q4 and Q5 based on TWA-MPCRS quintile, with quintile 1 as reference, were 1.49 (95% CI: 1.15∼1.94), 1.697 (95% CI: 1.29∼2.16), 1.79 (95% CI: 1.37∼2.33), and 3.96 (95% CI: 3.01∼5.21), respectively, in model 3. Similarly, after adjusting for in-hospital mortality, using quintile 1 as a reference, the adjusted ORs in Q2, Q3, Q4 and Q5 were 1.28 (95%CI: 1.04−1.63), 1.28 (95%CI: 1.02∼1.61), 1.42 (95%CI: 1.12∼1.79), and 2.88 (95%CI: 2.25∼3.70), respectively, in model 3. Notably, these TWA-MPCRS trends were statistically significant in all models (Table 2, P < .001).

Table 2.

Multivariable logistic regression analyses of TWA-MPCRS and ICU and in-hospital mortality.

Variable  Model 1  P value  Model 2  P value  Model 3  P value 
  OR (95%CI)    OR (95%CI)    OR (95%CI)   
ICU Mortality             
TWA-MPCRS  3.14 (2.58∼3.81)  <.001  4.27 (3.46∼5.26)  <.001  4.1 (3.19∼5.26)  <.001 
Q1  1 (Ref)    1 (Ref)    1 (Ref)   
Q2  1.53 (1.19∼1.96)  <.001  1.56 (1.21∼1.2.01)  .001  1.49 (1.15∼1.94)  .003 
Q3  1.76 (1.38∼2.26)  <.001  1.87 (1.45∼2.4)  <.001  1.67 (1.29∼2.16)  .001 
Q4  1.77 (1.38∼2.27)  <.001  1.98 (1.54∼2.55)  <.001  1.79 (1.37∼2.33)  <.001 
Q5  3.49 (2.76∼4.41)  <.001  4.50 (3.52∼5.74)  <.001  3.96 (3.01∼5.21)  <.001 
Trend.test    <.001    <.001    <.001 
In-hospital Mortality             
TWA-MPCRS  2.26 (1.88∼2.71)  <.001  3.24 (2.65∼3.95)  <.001  3.15 (2.48∼4.00)  <.001 
Q1  1 (Ref)    1 (Ref)    1 (Ref)   
Q2  1.31 (1.05∼1.62)  .015  1.34 (1.08∼1.68)  .035  1.28 (1.04∼1.63)  .023 
Q3  1.32 (1.07∼1.64)  .011  1.42 (1.14∼1.77)  .043  1.28 (1.02∼1.61)  .034 
Q4  1.35 (1.08∼1.67)  .007  1.54 (1.23∼1.92)  .013  1.42 (1.12∼1.79)  .004 
Q5  2.34 (1.9∼2.88)  <.001  3.18 (2.56∼3.96)  <.001  2.88 (2.25∼3.7)  <.001 
Trend.test    <.001    <.001    <.001 

Model 1: adjusted for nothing.

Model 2: adjusted for age, gender, BMI.

Model 3: adjusted for age, gender, BMI, SAPS II score, SOFA score, MAP, heart rate, lactate fluid balance, bicarbonate, PH, PaCO2, PF ratio, FiO2 and SpO2.

OR, odds ratio; CI, confidence interval; BMI, Body mass index; MAP, mean arterial blood pressure; PaCO2, arterial partial pressure of carbon dioxide; PF ratio, PaO2/FiO2 ratio; SpO2, pulse oxygen saturation.

The association between TWA-MPCRS and mortality among mechanically ventilated patients was further explored using restricted cubic splines plots of TWA-MPCRS against the ICU and hospital mortality rates (Fig. 2). After adjusting for all covariates, we found that TWA-MPCRS had a continuous linear association with both ICU mortality (Fig. 2A) and in-hospital mortality (Fig. 2B). This result was in line with the incremental changes in OR obtained in further multivariable logistic regression.

Figure 2.

Relationship between TWA-MPCRS and all-cause mortality risk. (A) Relationship between TWA-MPCRS and ICU mortality. (B) Relationship between TWA-MPCRS and in-hospital mortality. Shaded areas around the curves depict 95% confidence intervals.

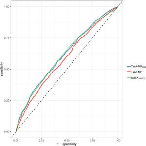
Analysis of receiver operating characteristics

Respective ROC curves were constructed to further analyze the predictive significance of TWA-MPCRS, TWA-MP, and SOFA scores on ICU mortality in critically ill patients (Fig. 3). The results showed that the area under the curve (AUC) (95% CI) of TWA-MPCRS, TWA-MP, and SOFA scores were 0.613 (0.592, 0.633), 0.585 (0.565, 0.605) and 0.612 (0.572, 0.615), respectively. The AUC of TWA-MPCRS was significantly better than that of TWA-MP (P < .001) and comparable to SOFA scores (P = .915) (Supplemental Table 5). The results of calibration plots and the Hosmer-Lemeshow goodness-of-fit test demonstrated good model fit, (χ2 = 14.16, P = .078) with high consistency between the predicted and observed probabilities of mortality risk (Supplementary Fig. 1).

Figure 3.

Receiver operating characteristic curves for the prediction of the ICU mortality in critically ill patients.

Subgroup analyses and sensitivity analysis

We further conducted interaction analyses and stratified analyses to determine the relationship between TWA-MPCRS and ICU mortality. As depicted in Fig. 4, in the adjusted Model3, the results demonstrated that an increase in TWA-MPCRS levels related to higher ICU mortality among various patient subgroups. In addition, there were no significant interaction between patient and clinical characteristics, including age, gender, BMI, ventilation parameter (PEEP, Ppeak, Vt and lung compliance), disease severity score (SAPSII and SOFA), and comorbidities (congestive heart failure, COPD and ARDS) and ICU mortality. A similar outcome was observed for in-hospital mortality, as shown in Fig. 4.

Figure 4.

Effect size of TWA-MPCRS on ICU mortality and in-hospital mortality in pre-specified and exploratory subgroups.

Multivariable logistic regression analysis in subgroups adjusted the same covariates as for Model 3 in Table 2. BMI, Body mass index; SAPSII, Simplified acute physiology score II; SOFA, Sequential organ failure assessment; Vt, tidal volume; PEEP, positive end-expiratory pressure; Ppeak, peak inspiratory pressure; PBW, predicted body weight; COPD, Chronic obstructive pulmonary disease; ARDS, acute respiratory distress syndrome.

Sensitivity analyses restricted to survivors were performed for both hospital and ICU length of stay (Supplementary Tables 6–7). These analyses showed that the association between TWA-MPCRS and ICU/hospital length of stay remained significant among survivors. In addition, a sensitivity analysis without missing values verified the robustness of the results, showing a strong link between TWA-MPCRS and clinical outcomes (Supplementary Table 8).

Discussion

In this retrospective cohort analysis, we confirmed that TWA-MPCRS is independently associated with ICU and in-hospital mortality in patients under invasive ventilation. The TWA-MPCRS during the second 24 h was associated with a linear positive relationship with mortality risk in patients with ventilation exceeding 48 h. The association was strong and unaffected by key covariables and confounding variables. Furthermore, our results demonstrate that the TWA-MPCRS is a superior predictor of outcomes in comparison to TWA-MP alone. To our knowledge, this is the first study to examine the prognostic value of TWA-MPCRS in critically ill patients with mechanical ventilation.

Previous studies have shown that MP is associated with poorer outcomes in critically ill patients ventilated for more than 48 h.14 However, MP does not account for the heterogeneous distribution of lung energy load, and the same MP may cause more severe VILI when aerated lung volume is reduced or pulmonary heterogeneity is increased.30 The effects of MP also vary based on lung pathophysiology, such as function, recruitability, and heterogeneity. Evidence further suggests that lung size and its heterogeneity can influence the impact of MP on VILI in patients with acute respiratory failure. Therefore, to more accurately predict VILI risk, specific power—the energy delivered per unit of ventilated lung tissue19,31,32—should be considered by normalizing MP to lung volume, thus better representing the actual energy burden delivered to the lung.18,30,33

ARDS patients often exhibit variability and significantly reduced lung size (“baby lungs”),34,35 with respiratory compliance reflecting the amount of functional lung tissue.19,31,36 MPCRS is more appropriate than normalization by body weight, as lung size is more influenced by disease severity.28,35,37 Zhang et al.38 found that MPCRS had the highest ability to predict mortality in ARDS. Similarly. Similarly, Coppola et al.20 reported that while MP had no causal association with mortality, MPCRS was independently linked to ICU mortality. Further, in severe ARDS patients receiving extracorporeal membrane oxygenation, MPCRS demonstrated better predictive power for 90-day mortality than either MP alone or MP normalized to predicted body weight.21 However, whether these findings apply broadly to all mechanically ventilated patients remains unclear. In our study, we initially examined the association between TWA-MPCRS quintiles and key clinical parameters, including SOFA scores, oxygenation index, lactate levels, as well as ICU and in-hospital mortality, in mechanically ventilated patients. The analysis revealed that a higher TWA-MPCRS was significantly associated with increased disease severity, as demonstrated by elevated SOFA scores and lactate levels, reduced oxygenation index, and higher ICU and in-hospital mortality rates. While TWA-MPCRS, like MP, does not directly cause lung injury or death, it serves as a reflection of the intensity of mechanical ventilation.15 Elevated TWA-MPCRS values are often linked to more severe underlying disease or greater respiratory dysfunction, indicating a need for higher levels of ventilatory support. Consequently, TWA-MPCRS may hold significant prognostic value in mechanically ventilated patients and can assist in identifying those at greatest risk of adverse outcomes. Importantly, the study identified a continuous linear relationship between TWA-MPCRS and mortality in mechanically ventilated patients. After adjusting for confounding variables, multivariate regression analysis confirmed TWA-MPCRS as an independent risk factor for both ICU and in-hospital mortality. These findings suggest that TWA-MPCRS may serve as a valuable stratification marker for recognizing high-risk patients, supporting clinical decision-making by prioritizing more intensive monitoring and therapeutic interventions for those with the most severe conditions.

Moreover, we determined that the AUC of TWA-MPCRS was similar to that of SOFA score, but superior to TWA-MP alone, which is in agreement with previous research on ARDS.38 Compared to TWA-MP, TWA-MPCRS more accurately predicts ICU mortality by capturing the true mechanical power delivered to the lungs. Unlike broader scores such as SOFA, TWA-MPCRS offers a focused physiologic measure of ventilatory intensity and VILI risk. Automated calculation by ventilators or workflow integration could enhance bedside use. While SOFA remains valuable for overall organ dysfunction, TWA-MPCRS adds insight into ventilatory mechanics, helping identify high-risk patients needing closer monitoring. However, the AUC value of TWA-MPCRS indicates only a moderate discriminatory ability, which may reflect the inherent limitations of being a unidimensional metric. The heterogeneity of mechanically ventilated populations (e.g., ARDS, neurological injury, COPD) leads to variability in the mortality risk thresholds associated with MP.39,40 MP may be more strongly associated with mortality in certain subgroups but less predictive of risk in others, diluting its discriminative power when applied to the overall ICU population. Integrating TWA-MPCRS with other clinical predictors, employing stratified modeling techniques, and leveraging advanced machine learning methods could potentially enhance its discriminatory performance. Additionally, MP has limitations in assessing and quantifying VILI and the severity of lung injury. For instance, the energy required to overcome airway resistance does not necessarily lead to VILI.41 Future research in mechanically ventilated patients might explore normalizing specific components of MP, such as elastic power,42 which could have the potential to improve its prognostic predictive value. Further investigations are needed to address these challenges and enhance the utility of TWA-MPCRS in guiding ICU management decisions.

No single component of MP was found to significantly contribute to overall MP.11 Although our subgroup analyses based on PEEP, Vt, Ppeak, and lung compliance showed consistent associations between TWA-MPCRS and increased ICU and hospital mortality, the complex interactions among these variables make it difficult to clarify the specific roles of individual components in VILI. Further research is needed to address this. In addition, our analysis confirms that patients with the highest BMI have correspondingly higher TWA-MPCRS, similar to the findings of González et al., which associate this with reduced chest wall compliance in obesity and the need for higher PEEP to counterbalance the weight load.43 However, further stratified analysis reveals that BMI does not influence the relationship between TWA-MPCRS and mortality. Moreover, no significant interactions were observed for variables such as age, gender, congestive heart failure, COPD or ARDS when patients were stratified according to potential confounding factors. This suggests that the relationship between TWA-MPCRS and mortality is consistent and independent of these variables, supporting the broader applicability of TWA-MPCRS as a metric for evaluating ventilation dynamics and their association with outcomes in diverse ICU patients. Specifically, in non-ARDS patients, factors such as chest wall compliance, hyperinflation (in COPD), or fluid overload (in congestive heart failure) can alter respiratory mechanics, yet TWA-MPCRS appears to remain a robust indicator of prognosis. Its ability to integrate various components of mechanical ventilation makes it a reliable measure of ventilation-associated stress and strain on the respiratory system, even under differing underlying conditions. Further studies are warranted to explore its utility in guiding ventilatory strategies tailored to heterogeneous patient groups.

Static parameters based on plateau pressure were not used in this study because plateau pressure is often not routinely measured in clinical practice, especially without adequate sedation or standardized inspiratory pauses. This limits data accuracy in large databases like MIMIC-IV. Additionally, plateau pressure may underestimate the maximal pressure experienced by vulnerable lung units during dynamic inflation.44 Therefore, we relied on real-time, automatically recorded Ppeak and PEEP to calculate dynamic driving pressure and dynamic MP.27,45 These dynamic parameters offer the advantage of being automatically displayed by the ventilator with each breath, facilitating continuous monitoring of physiological changes and remaining independent of ventilation mode.27,46,47 Numerous studies have also supported the reliability of these dynamic indices as substitutes for static measurements, and evidence shows that elevated dynamic MP is significantly associated with increased 30-day mortality in patients with acute respiratory failure27,46 and a higher risk of postoperative pulmonary complications,47 regardless of ventilation mode. The use of dynamic MP overcomes the limitations of static measurements and provides a more universal and clinically valuable method for assessing VILI risk and enabling early intervention.

This study has several limitations. First, the conclusions can only be applied to patients who have been ventilated longer than 48 h. Second, we did not account for patients’ sedation status or restrict analysis to a single ventilation modality; patients under various ventilatory modes were included, and sedation was not uniformly documented. As MP may vary across different ventilation modes,48 this heterogeneity may affect the accuracy and interpretation of MP values, especially since the MP formula has not been fully validated for all ventilation modes. These methodological limitations may impact the generalizability of our findings. This limitation should be taken into account when interpreting our results, and future prospective studies should aim to rigorously document both sedation depth and ventilation modality to more accurately validate these associations. Third, as the study was retrospective, we measured functional lung size using compliance. Transpulmonary pressures33 or lung computed tomography (CT) scan may provide more accurate pulmonary49 function expansion and pulmonary heterogeneity or the recruitability measurements.38,50 However, as these specific data are not available in MIMIC-IV, it is necessary to further investigate the normalization of MP to lung volume using transpulmonary pressures or CT in the future.

Conclusion

According to our study, TWA-MPCRS can predict poor clinical outcomes in critically ill patients. TWA-MPCRS is positively associated with ICU/in-hospital mortality.

CRediT authorship contribution statement

YKD and YGL carried out the design, conducted data analysis and wrote the manuscript. JQF and RH conducted data collection and interpreted the analysis. HY, JNW and YW participated in the manuscript revision. FS designed the study and conducted data analysis and reviewed the manuscript. All authors read and approved the final manuscript.

Ethics approval and consent to participate

The studies involving human participants were reviewed and approved by Institutional Review Board of the Massachusetts Institute of Technology and Beth Israel Deaconess Medical Center. De‑identification was performed to ensure patients’ confidentiality. Written informed consent for participation was not required for this study in accordance with the National Legislation and the Institutional requirements.

Consent for publication

Not applicable.

Declaration of Generative AI and AI-assisted technologies in the writing process

No artificial intelligence was used in the study and writing of the manuscript.

Funding

Not applicable.

Data availability

The datasets supporting the conclusions of this article are available in the physionet (https://physionet.org/content/mimiciv/2.0/).

Declaration of competing interest

The authors declare no competing interest.

Acknowledgements

We thank Dr. Jie Liu of the Department of Vascular and Internal Medicine, People’s Liberation Army General Hospital, China, for his contributions to comments on the manuscript.

Appendix A
Supplementary data

The following is Supplementary data to this article:

References
[1]
A.S. Slutsky, V.M. Ranieri.
Ventilator-induced lung injury.
N Engl J Med., 369 (2013), pp. 2126-2136
[2]
D. Dreyfuss, G. Saumon.
Ventilator-induced lung injury: lessons from experimental studies.
Am J Respir Crit Care Med., 157 (1998), pp. 294-323
[3]
L. Gattinoni, T. Tonetti, M. Quintel.
Regional physiology of ARDS.
Crit Care., 21 (2017), pp. 312
[4]
J.R. Beitler, A. Malhotra, B.T. Thompson.
Ventilator-induced lung injury.
Clin Chest Med., 37 (2016), pp. 633-646
[5]
S. Grasso, T. Stripoli, M. De Michele, et al.
ARDSnet ventilatory protocol and alveolar hyperinflation: role of positive end-expiratory pressure.
Am J Respir Crit Care Med., 176 (2007), pp. 761-767
[6]
M. Briel, M. Meade, A. Mercat, et al.
Higher vs lower positive end-expiratory pressure in patients with acute lung injury and acute respiratory distress syndrome: systematic review and meta-analysis.
Jama., 303 (2010), pp. 865-873
[7]
M.B. Amato, M.O. Meade, A.S. Slutsky, et al.
Driving pressure and survival in the acute respiratory distress syndrome.
N Engl J Med., 372 (2015), pp. 747-755
[8]
R.G. Brower, M.A. Matthay, A. Morris, D. Schoenfeld, B.T. Thompson, A. Wheeler.
Ventilation with lower tidal volumes as compared with traditional tidal volumes for acute lung injury and the acute respiratory distress syndrome.
N Engl J Med., 342 (2000), pp. 1301-1308
[9]
C. Putensen, N. Theuerkauf, J. Zinserling, H. Wrigge, P. Pelosi.
Meta-analysis: ventilation strategies and outcomes of the acute respiratory distress syndrome and acute lung injury.
Ann Intern Med., 151 (2009), pp. 566-576
[10]
M.O. Meade, D.J. Cook, G.H. Guyatt, et al.
Ventilation strategy using low tidal volumes, recruitment maneuvers, and high positive end-expiratory pressure for acute lung injury and acute respiratory distress syndrome: a randomized controlled trial.
Jama., 299 (2008), pp. 637-645
[11]
L. Gattinoni, T. Tonetti, M. Cressoni, et al.
Ventilator-related causes of lung injury: the mechanical power.
Intensive Care Med., 42 (2016), pp. 1567-1575
[12]
D. Chiumello, M. Gotti, M. Guanziroli, et al.
Bedside calculation of mechanical power during volume- and pressure-controlled mechanical ventilation.
Crit Care (London, England)., 24 (2020), pp. 417
[13]
P.L. Silva, P. Pelosi, P.R.M. Rocco.
Understanding the mysteries of mechanical power.
Anesthesiology., 132 (2020), pp. 949-950
[14]
A. Serpa Neto, R.O. Deliberato, A.E.W. Johnson, et al.
Mechanical power of ventilation is associated with mortality in critically ill patients: an analysis of patients in two observational cohorts.
Intensive Care Med., 44 (2018), pp. 1914-1922
[15]
E.L.V. Costa, A.S. Slutsky, L.J. Brochard, et al.
Ventilatory variables and mechanical power in patients with acute respiratory distress syndrome.
Am J Respir Crit Care Med., 204 (2021), pp. 303-311
[16]
S. Manrique, M. Ruiz-Botella, N. Murillo, et al.
Impact of mechanical power on ICU mortality in ventilated critically ill patients: a retrospective study with continuous real-life data.
Eur J Med Res., 29 (2024), pp. 491
[17]
L. Gattinoni, T. Tonetti, M. Quintel.
Intensive care medicine in 2050: ventilator-induced lung injury.
Intensive Care Med., 44 (2018), pp. 76-78
[18]
L. Gattinoni, J.J. Marini, F. Collino, et al.
The future of mechanical ventilation: lessons from the present and the past.
Crit Care (London, England)., 21 (2017), pp. 183
[19]
J.J. Marini, L. Gattinoni.
Time course of evolving ventilator-induced lung injury: the “Shrinking Baby Lung”.
Crit Care Med., 48 (2020), pp. 1203-1209
[20]
S. Coppola, A. Caccioppola, S. Froio, et al.
Effect of mechanical power on intensive care mortality in ARDS patients.
Crit Care., 24 (2020), pp. 246
[21]
L.C. Chiu, S.W. Lin, L.P. Chuang, et al.
Mechanical power during extracorporeal membrane oxygenation and hospital mortality in patients with acute respiratory distress syndrome.
[22]
V.W. Skrivankova, R.C. Richmond, B.A.R. Woolf, et al.
Strengthening the reporting of observational studies in Epidemiology Using Mendelian Randomization: the STROBE-MR statement.
Jama., 326 (2021), pp. 1614-1621
[23]
B.M. Fuller, N.M. Mohr, M. Dettmer, et al.
Mechanical ventilation and acute lung injury in emergency department patients with severe sepsis and septic shock: an observational study.
Acad Emerg Med., 20 (2013), pp. 659-669
[24]
M. Eberlein, J.C. Keech, R.M. Reed.
Applied physiological principles in the management of a lung allograft to thoracic cavity size mismatch in severe emphysema.
JHLT Open., 6 (2024),
[25]
Y. Zhu, W. Peng, S. Zhen, X. Jiang.
Mechanical power normalized to predicted body weight is associated with mortality in critically ill patients: a cohort study.
BMC Anesthesiol., 21 (2021), pp. 278
[26]
Y. Xie, J. Shi, S. Liu, et al.
Association of elastic power in mechanical ventilation with the severity of acute respiratory distress syndrome: a retrospective study.
Eur J Med Res., 29 (2024), pp. 5
[27]
M. Urner, P. Jüni, B. Hansen, M.S. Wettstein, N.D. Ferguson, E. Fan.
Time-varying intensity of mechanical ventilation and mortality in patients with acute respiratory failure: a registry-based, prospective cohort study.
Lancet Respir Med., 8 (2020), pp. 905-913
[28]
F. Vasques, E. Duscio, I. Pasticci, et al.
Is the mechanical power the final word on ventilator-induced lung injury?-we are not sure.
Ann Transl Med., 6 (2018), pp. 395
[29]
D. Karalapillai, L. Weinberg, A.S. Neto, et al.
Intra-operative ventilator mechanical power as a predictor of postoperative pulmonary complications in surgical patients: a secondary analysis of a randomised clinical trial.
Eur J Anaesthesiol., 39 (2022), pp. 67-74
[30]
R. Huhle, A. Serpa Neto, M.J. Schultz, M. Gama de Abreu.
Is mechanical power the final word on ventilator-induced lung injury?-no.
Ann Transl Med., 6 (2018), pp. 394
[31]
J.J. Marini, P.R.M. Rocco, L. Gattinoni.
Static and dynamic contributors to ventilator-induced lung injury in clinical practice. Pressure, energy, and power.
Am J Respir Crit Care Med., 201 (2020), pp. 767-774
[32]
F. Collino, F. Rapetti, F. Vasques, et al.
Positive end-expiratory pressure and mechanical power.
Anesthesiology., 130 (2019), pp. 119-130
[33]
L. Gattinoni, F. Collino, L. Camporota.
Mechanical power: meaning, uses and limitations.
Intensive Care Med., 49 (2023), pp. 465-467
[34]
L. Gattinoni, J.J. Marini, A. Pesenti, M. Quintel, J. Mancebo, L. Brochard.
The “baby lung” became an adult.
Intensive Care Med., 42 (2016), pp. 663-673
[35]
D. Chiumello, E. Carlesso, M. Brioni, M. Cressoni.
Airway driving pressure and lung stress in ARDS patients.
Crit Care., 20 (2016), pp. 276
[36]
L. Gattinoni, A. Pesenti.
The concept of “baby lung”.
Intensive Care Med., 31 (2005), pp. 776-784
[37]
M. Cressoni, D. Chiumello, E. Carlesso, et al.
Compressive forces and computed tomography-derived positive end-expiratory pressure in acute respiratory distress syndrome.
Anesthesiology., 121 (2014), pp. 572-581
[38]
Z. Zhang, B. Zheng, N. Liu, H. Ge, Y. Hong.
Mechanical power normalized to predicted body weight as a predictor of mortality in patients with acute respiratory distress syndrome.
Intensive Care Med., 45 (2019), pp. 856-864
[39]
S. Wu, H. Li, J. Xu, J. Cai, L. Wu, Y. Xu.
Association between mechanical power and 28-day all-cause mortality in chronic obstructive pulmonary disease patients undergoing invasive ventilation: analysis of the MIMIC-IV database.
Int J Chron Obstruct Pulmon Dis., 20 (2025), pp. 785-797
[40]
X. Jiang, Y. Zhu, S. Zhen, L. Wang.
Mechanical power of ventilation is associated with mortality in neurocritical patients: a cohort study.
J Clin Monitor Comput., 36 (2022), pp. 1621-1628
[41]
R. Paudel, C.A. Trinkle, C.M. Waters, et al.
Mechanical power: a new concept in mechanical ventilation.
Am J Med Sci., 362 (2021), pp. 537-545
[42]
S. Manrique, F. Gordo.
The role of static elastic power in the severity and prognosis of acute respiratory distress syndrome.
Med Intensiva., (2025),
[43]
A. González-Castro, E. Cuenca Fito, C. Huertas Martín, Y. Peñasco, A. Fajardo Campoverdi.
Analysis of energy load values in mechanical ventilation in obese patients with hypoxemic respiratory failure secondary to SARS-CoV-2.
Med Intensiva., 48 (2024), pp. 663-666
[44]
S. von Düring, K.K.S. Parhar, N.K.J. Adhikari, et al.
Understanding ventilator-induced lung injury: the role of mechanical power.
J Crit Care., 85 (2025),
[45]
M. Urner, P. Jüni, L.P. Rojas-Saunero, et al.
Limiting dynamic driving pressure in patients requiring mechanical ventilation.
Crit Care Med., 51 (2023), pp. 861-871
[46]
M.T.U. Schuijt, D.M.P. van Meenen, I. Martin-Loeches, et al.
Association of time-varying intensity of ventilation with mortality in patients with COVID-19 ARDS: secondary analysis of the PRoVENT-COVID study.
Front Med., 8 (2021),
[47]
M.T.U. Schuijt, L. Hol, S.G. Nijbroek, et al.
Associations of dynamic driving pressure and mechanical power with postoperative pulmonary complications-posthoc analysis of two randomised clinical trials in open abdominal surgery.
EClinicalMedicine., 47 (2022),
[48]
A. González-Castro, A. Medina Villanueva, P. Escudero-Acha, et al.
Comprehensive study of mechanical power in controlled mechanical ventilation: Prevalence of elevated mechanical power and component analysis.
Med Intensiva., 48 (2024), pp. 155-164
[49]
H. Chen, Z.Z. Chen, S.R. Gong, R.G. Yu.
Visualizing the dynamic mechanical power and time burden of mechanical ventilation patients: an analysis of the MIMIC-IV database.
J Intensive Care., 11 (2023), pp. 58
[50]
G. Maiolo, F. Collino, F. Vasques, et al.
Reclassifying acute respiratory distress syndrome.
Am J Respir Crit Care Med., 197 (2018), pp. 1586-1595

These authors contributed equally to this work.

Copyright © 2025. The Author(s)
Descargar PDF
Idiomas
Medicina Intensiva
Opciones de artículo
Herramientas
Material suplementario