INTRODUCCION
En los últimos años se han ido produciendo, en el Estado español, mejoras progresivas en la asistencia al traumatismo grave (TG). En el ámbito extrahospitalario ha habido un aumento significativo de las unidades de soporte vital avanzado (SVA) y una mayor profesionalización del personal sanitario que atiende in situ a los pacientes politraumatizados. Asimismo, la mejora tecnológica en diversas áreas de la medicina y, especialmente, la mayor experiencia del personal sanitario que atiende a los pacientes con politraumatismo en unidades de cuidados intensivos neurotraumatológicas ha supuesto una mejora asistencial hospitalaria evidente.
Sin embargo, las respectivas administraciones autonómicas siguen careciendo de un plan que integre global, coordinada y eficazmente todos los elementos que intervienen en un sistema de cuidado traumatológico (SCT). Un buen ejemplo de ello es la ubicación de las unidades de SVA fuera de los hospitales, el todavía inadecuado traslado del TG al hospital más próximo en lugar de al más adecuado, y la falta de categorización de una buena parte de la red sanitaria de hospitales comarcales. En los hospitales de referencia se sigue careciendo de la necesaria documentación sobre las circunstancias del accidente y, asimismo, persiste una apreciable descoordinación multidisciplinaria en la recepción hospitalaria del paciente politraumatizado.
La herramienta esencial para diseñar un plan integral traumatológico se basa en la creación de un registro traumatológico, computarizado, que contenga las variables extraídas de la realidad existente, permitiendo analizar la estructura, actividad y resultados del SCT1. Con esta filosofía estamos dando a conocer, desde 1995, con la puesta en marcha del Proyecto POLIGNITARIA2-10, pionero en el Estado español, una información global sobre el traumatismo grave en nuestra región así como en Aquitania. En esta línea de estudio, este trabajo tiene como objetivo el estudio epidemiológico-autópsico de todos los fallecidos por cualquier traumatismo que se han producido de manera consecutiva en Guipúzcoa entre los años 1996 y 2000. Consideramos que disponer de esta información paliará el vacío documental que hoy día existe sobre la mortalidad traumática. Las actuales bases de los diferentes organismos oficiales, implicados en los siniestros por traumatismo, carecen de documentación asistencial sanitaria tanto prehospitalaria como hospitalaria, así como del valioso informe autópsico. Asimismo, registran únicamente los datos epidemiológicos de los fallecimientos que se producen durante las primeras 24 h, por lo que las cifras suelen infraestimar el verdadero número de fallecimientos traumáticos que se producen.
Por otra parte, la información obtenida en este trabajo colaboraría en la implementación de mejoras en las áreas de prevención y de atención traumatológica. Igualmente, aportaría una herramienta importantísima en la evaluación de la calidad asistencial traumatológica.
Pretendemos también motivar y servir de referencia para otros servicios de medicina intensiva o de urgencias para que puedan poner en práctica iniciativas similares en sus respectivas comunidades autónomas. Cabe esperar que, en un futuro inmediato, surjan proyectos similares, con la consiguiente mejora asistencial traumatológica que de ello se pueda derivar.
PACIENTES Y MÉTODO
Se trata de un estudio observacional prospectivo, enmarcado dentro del Proyecto POLIGUITANIA (Estudio del traumatismo severo en Guipúzcoa y Aquitania), becado por el programa de la Unión Europea INTERREG para la cooperación entre regiones europeas (BOPV n.o 1:198) y por el Fondo de Investigación Sanitaria (FIS: BOE Proyecto n.o 97/1212).
Se analizan todos los fallecimientos que, de forma consecutiva, se han producido en Guipúzcoa por cualquier traumatismo (fueron excluidas las quemaduras y los ahogamientos), durante el período comprendido entre el 1 de enero de 1996 y el 31 de diciembre de 2000.
La provincia de Guipúzcoa tiene una población aproximada de 700.000 habitantes y dispone de 5 hospitales comarcales, 9 privados y un hospital terciario. La información fue obtenida gracias a la colaboración del Centro Coordinador Regional de Emergencias, del informe médico de los servicios de ambulancia, de la historia clínica hospitalaria y del informe autópsico realizado por los forenses del Instituto Anatómico Forense de Guipúzcoa.
Variables estudiadas
Variables demográficas: edad y sexo.
Factores relacionados con las circunstancias del traumatismo: causa (tráfico, laboral, precipitación, caída, arma de fuego y otros), mecanismo lesional (penetrante, cerrado), intencionalidad determinada por el informe forense (suicida, accidental y agresión).
Factores relacionados con el fallecimiento: causa según estudio autópsico (neurológica, no neurológica y mixta), hora en que se produce, lugar (in situ, durante el traslado, en hospital comarcal y terciario) y tiempo de supervivencia entre la hora del traumatismo y la del fallecimiento (< 15 min, < 1 h, 1-24 h, 1-7 días, > 7 días).
Años potenciales de vida perdidos (APVP): se determinaron reuniendo los datos por grupos quinquenales de edad. Los límites de edad utilizados fueron 0 y 75 años. Para su cálculo se utilizó la siguiente fórmula11:
siendo ai los años restantes desde la marca de clase de un grupo de edad hasta los 75 años, y di el número de defunciones dentro de ese grupo de edad.
Estudio autópsico: se hizo individualizadamente según 3 parámetros:
1. Medición del índice de gravedad Injury Severity Score autópsico (ISSa), codificado entre 1 y 75 puntos. A pesar de que éste inicialmente fue creado para ser aplicado en la práctica clínica hospitalaria12, con posterioridad ha sido utilizado por la medicina forense13-17.
2. Análisis de la gravedad de cada lesión, según las regiones corporales, mediante el índice Abbreviated Injury Severity Scale autópsico (AISa), versión 9018, puntuada con una escala ordinal creciente de 1 a 6 puntos (lesiones que implican amenaza vital [AISa: 6,5,4 puntos] y sin riesgo vital [AISa: 3,2,1 puntos]).
3. Determinación de la lesión anatómica principal causante del fallecimiento en función de la que puntuaba con mayor gravedad en la escala AISa. En el caso de que coexistieran varias con el mismo nivel de gravedad, la causa del fallecimiento fue considerada plurietiológica.
Análisis estadístico
Las variables cuantitativas se expresan como media y desviación estándar (DE) y las cualitativas como proporciones. Para la comparación de medias se utilizó el test de la t de Student o el análisis de la varianza (ANOVA), seguido de contrastes post hoc (test de Scheffé) si fuera necesario. Se usaron tests no paramétricos (prueba U de Mann-Whitney en caso de distribuciones no gaussianas y prueba de Kruskal-Wallis ante la falta de homogeneidad de varianzas). La igualdad de varianzas se comprobó con el test de Levene. La significación estadística se definió para un valor de p < 0,05. El análisis se realizó con el programa SPSS para Windows (versión 10.0).
RESULTADOS
Aspectos epidemiológicos
Durante el período de estudio se produjeron en Guipúzcoa un total de 1.315 traumatismos graves, de los que 784 (59,6%) fueron fallecimientos, lo que arroja una tasa bruta de mortalidad de 22,4 por 100.000 habitantes/año. La descripción anual de la mortalidad pone de manifiesto una ligera tendencia ascendente en los últimos 2 años de estudio (fig. 1).
Figura 1. Evolución anual de la tasa de mortalidad traumática.
Todos los fallecimientos supusieron un total de 26.148 años potenciales de vida perdidos (APVP), con una tasa anual de 778,1 APVP/100.000 habitantes. El 50,3% de los APVP estaba ocasionado por la muerte de jóvenes con edades comprendidas entre 16 y 30 años (fig. 2).
Figura 2. Años potenciales de vida perdidos (APVP).
En la tabla 1 se describen las principales características epidemiológicas de todas las muertes estudiadas. Se trata de una población con una edad media de 45,1 (21,3) años, de la que el 78,7% eran varones. La mayoría de los fallecimientos fue provocada por los accidentes de automóvil (31,4%), seguidos de las precipitaciones (14,5%) y los atropellos (13,7%), y el resto por otras causas. El mecanismo lesional predominante fue no penetrante en un 92,6% y la intencionalidad, accidental se describió en el 73,1%, suicida en el 21,9 y homicida en 5%.
Por intervalos de edad, el 41,3% de las muertes ocasionadas por accidentes de tráfico incidió en personas menores de 30 años y el 36,6% de las laborales afectó principalmente a los trabajadores entre 30 y 45 años. Los suicidios afectaron, sobre todo, a los mayores de 64 años (24,4%), y a los jóvenes con edades entre 15 y 30 años (23%). El 38,8 y el 60% de los que fallecieron por atropello o caída, respectivamente, eran mayores de 64 años. En todas las franjas de edad existía una mayor prevalencia masculina.
La mitad de la muestra analizada falleció de forma casi instantánea sobre el terreno, con un tiempo de supervivencia inferior a 15 min. En conjunto, el 77,5% no sobrevivió más allá de las primeras 24 h postraumatismo.
Respecto al día de la semana en que sucedieron los fallecimientos, se produjo un mayor número de muertes durante el fin de semana, particularmente el sábado, por accidentes de automóvil (20,3%), sin que se hallaran diferencias en los atropellos ni en los accidentes de moto o laborales. Los suicidios tuvieron una mayor incidencia los lunes, con un 20,1%.
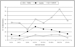
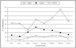
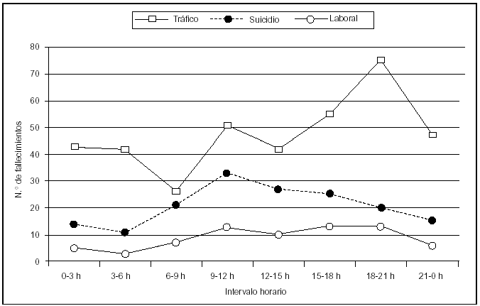
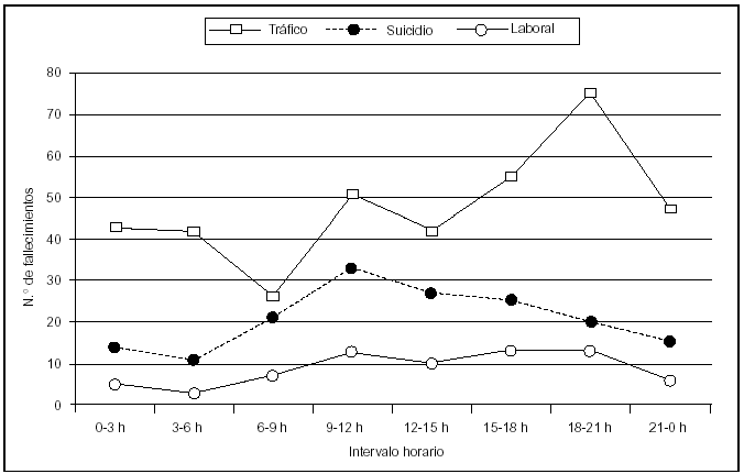
Según la hora en que se produjeron, se observó un predominio diurno para las muertes por suicidio y los accidentes laborales (fig. 3). Los accidentes de tráfico presentaban un pico de máxima siniestralidad en la franja horaria comprendida entre las 18:00 y 21:00 h. El 51,7% de los que fallecieron entre las 00:00 y las 06:00 de la mañana eran jóvenes con edades comprendidas entre los 16 y 30 años.
Figura 3. Cronología del fallecimiento prehospitalario según la causa-intencionalidad del traumatismo.
Análisis lesional autópsico
De los 784 fallecimientos acaecidos, en 672 se realizó estudio autópsico (85,7%). De éstos, no se pudo acceder a los datos autópsicos en 60 casos por pertenecer al secreto del sumario. El promedio global del Injury Severity Score autópsico (ISSa) era de 58,9 (21,1) puntos. La distribución de la gravedad de la muestra queda reflejada en la figura 4, donde destaca que un 56,9% de los fallecidos presentaba un ISSa máximo de 75 puntos, aunque en un 6,8% de los casos era inferior a 25 puntos. No se hallaron diferencias estadísticamente significativas del ISSa en relación con el sexo, ni tampoco en relación con tres grandes grupos (accidente de tráfico, laboral y suicidio) elegidos según su interés epidemiológico-social (tabla 2). Sí se obtuvieron diferencias significativas (fig. 5) en relación con el tiempo de supervivencia (ANOVA F: 22,401 p < 0,000), con un ISSa superior a todos los demás para los que fallecieron en menos de una hora; también fue mayor el de los muertos acaecidos a las 1-24 h postraumatismo en comparación con los que murieron diferidamente (contraste post hoc: Scheffé). El estudio necrópsico evidenció una causa de fallecimiento neurológica en el 43,5% de los casos, no neurológica en el 40,3% y mixta en un 16,2% (tabla 1). Según la clasificación de los diferentes grupos de gravedad AISa (fig. 6), la estructura craneofacial resultó la más afectada, en un 41%, con lesiones con riesgo vital (AIS > 3 puntos), seguida por el tórax (30,4%), el abdomen (25,1%) y las extremidades (3,3%). El aparato locomotor fue el más afectado, con lesiones no graves (AISa: 1-3 puntos).
Figura 4. Distribución Injury Severity Score autópsico (ISSa).
Figura 5. ISSa según el tiempo de supervivencia.
Figura 6. Distribución porcentual de las lesiones anatómicas de los fallecidos según grupos de gravedad AISa.
Analizando la codificación AISa de la gravedad de las lesiones anatómicas según la región corporal (fig. 7) se calculó que el 47,4 y el 47,6% de las lesiones halladas en la autopsia de la cabeza y tórax, respectivamente, lo fueron de máxima gravedad AISa (6 puntos). En el abdomen sólo se encontró un 18,3% de lesiones consideradas irreversibles.
Figura 7. Codificación AISa de la gravedad de las lesiones anatómicas según regiones corporales.
Si nos atenemos al lugar del fallecimiento (in situ, traslado, hospital comarcal y terciario) y comparamos la gravedad lesional globalmente (tabla 3), se encuentran diferencias significativas en el ISSa (Anova F:18,471 p < 0,000). En cuanto a las lesiones con riesgo vital de cada territorio corporal (tabla 3), únicamente encontramos diferencias significativas en las lesiones abdominales (χ2, 13,54; p < 0,004). Precisando cuáles fueron las lesiones anatómicas principales causantes del fallecimiento, cabe referir, por orden decreciente, que la plurietiológica (21%), el estallido craneal (19%), la hemorragia cerebral (14%), la rotura de grandes vasos (13%, principalmente la del istmo aórtico) y la sección completa medular en C1-C4 (6%) fueron las más frecuentes para el conjunto de la muestra (fig. 8). Finalmente, comparando las muertes ocurridas in situ con las del hospital terciario (fig. 9), se demuestran diferencias significativas en las causas plurietiológica, estallido craneal, hemorragia cerebral y hemoperitoneo para aquellos que murieron sobre el terreno, y en el edema cerebral para los que lo hicieron en el hospital terciario. Para las roturas de grandes vasos y el aplastamiento torácico no se hallaron diferencias significativas.
Figura 8. Lesiones anatómicas principales causantes del fallecimiento según el estudio autópsico.
Figura 9. Lesión anatómica principal causante del fallecimiento en función del lugar. *p < 0,05. NS: no significativo.
DISCUSION
El mayor interés y originalidad de nuestro estudio ha sido conseguir estudiar todas las muertes producidas por cualquier traumatismo, durante 5 años, en una entidad geográfica administrativa concreta como es la provincia de Guipúzcoa. Tenemos la certeza de haber incluido todos los fallecimientos, tanto prehospitalarios como hospitalarios, ya que mensualmente recibimos el listado del Instituto Anatómico-Forense de Guipúzcoa y es bien sabido que en nuestro país existe la obligatoriedad legal de certificar la defunción forense.
La mortalidad traumática constituye una prioridad de salud pública, ya que supone para el conjunto de la sociedad unos elevadísimos costes morales, imposibles de medir en su auténtica dimensión, y económicos, así como una gran cantidad de APVP. En este sentido, cabe destacar que las 784 muertes fueron responsables de la pérdida de un total de 26.148 APVP. Esta ingente cantidad de años perdidos se explica por el elevado número de fallecimientos analizados y especialmente por su juventud, ya que la mitad de los APVD estaba ocasionada por la muerte de personas con edades comprendidas entre los 16 y 30 años. Este dato señala a este colectivo, de predominio netamente masculino, como el mayor responsable de la mortalidad traumática prematura y, por tanto, debe convertirse en objetivo prioritario para las estrategias de prevención. Cabe destacar que 14.000 jóvenes mueren cada año por accidentes de tráfico en la Unión Europea1.
Al igual que en otras publicaciones19,20, los fallecimientos estuvieron provocados principalmente por los accidentes de automóvil, seguidos por las precipitaciones, los atropellos y los accidentes laborales. Conviene remarcar que, aunque la mayoría de las muertes fue accidental, en casi una cuarta parte existió una intencionalidad suicida, siendo muy bajo el porcentaje de fallecimientos que se produjeron por agresión si lo comparamos con los datos publicados en la bibliografía anglosajona21,22.
A la hora de identificar, según la edad, a los grupos de mayor riesgo de muerte traumática, cabe señalar a los menores de 30 años en los accidentes de tráfico, a los trabajadores de edad media en los laborales y a las personas mayores de 64 en los atropellos y caídas. Los suicidios afectaban, fundamentalmente, tanto a los jóvenes menores de 30 años como a los mayores de 64. Contrastando nuestros datos con los de otras series20, en el año 2000, 1.306 jóvenes perdieron la vida en las carreteras del Estado español y más del 30% de los peatones muertos eran mayores de 64 años, un porcentaje que en la ciudad casi llegaba al 50%.
Si consideramos también el sexo como un marcador de riesgo, hay que destacar el género masculino como el más afectado para todas las causas y todos los grupos de edad. Según el intervalo horario en que sucedieron las muertes, cabe apuntar como el de mayor riesgo el comprendido entre las 18:00 y 21:00 h para los accidentes de tráfico, existiendo un predominio diurno para las muertes por suicidio o accidente laboral. La mitad de los individuos que fallecieron por accidentes de tráfico, que se produjeron durante la noche, tenía una edad inferior a 30 años.
Otra característica muy significativa de la población estudiada es la gran precocidad de la muerte traumática, al haber fallecido el 77,5% durante las primeras 24 h postraumatismo. Más precisamente, algo más de la mitad de la población estudiada murió sobre el terreno, con un tiempo de supervivencia inferior a los 15 min. La explicación de este hecho, al igual que los resultados obtenidos por otros autores23, sería las diferencias significativas del ISSa entre los que fallecieron en menos de una hora y durante las primeras 24 h respecto a los que lo hicieron de manera diferida. El hallazgo autópsico de lesiones de máxima gravedad ISSa en algo más de la mitad de la población estudiada calificaría a estas muertes como "inevitables" a pesar de una asistencia sanitaria adecuada. Por ello, la prevención primaria constituiría la única estrategia para intentar disminuir el número de muertes en dicha población24 y en el resto de los casos cabría intentar medidas de prevención secundaria y asistenciales, especialmente para el reducido grupo que presentaba un ISSa bajo15. Los hallazgos autópsicos identificaban la estructura craneofacial, seguida por el tórax, como las más frecuentes y gravemente afectadas. Las lesiones múltiples, con igual gravedad AISa, fueron identificadas en la autopsia como la causa principal de fallecimiento in situ, seguida por la hemorragia cerebral y la rotura de grandes vasos. En el hospital terciario lo fueron la hemorragia y el edema cerebral.
Una vez conocidas las características principales del perfil epidemiológico autópsico del fallecido por traumatismo, habría que considerar las estrategias fundamentales para intentar disminuir la mortalidad traumática. Desde una perspectiva global, la causalidad multifactorial y la suma de circunstancias específicas que concurren en cada grupo de muertes dificultan la puesta en práctica de medidas generales preventivas y asistenciales para todo el conjunto. Sin embargo, ayudaría en la toma de decisiones disponer de registros traumatológicos con una recogida de datos uniformada de todos los fallecidos, según recomendaciones tipo Utstein25. Supondría la herramienta fundamental para mejorar la investigación epidemiológica y, en consecuencia, estimularía medidas de carácter preventivo dirigidas a la población general y principalmente a aquellos grupos identificados como de mayor riesgo.
Sectorizando las propuestas, nos referiremos a los fallecimientos por accidente de tráfico, de trabajo y a aquellos con una intencionalidad suicida, ya que son los que tienen, en nuestra serie, un mayor impacto epidemiológico y, en consecuencia, social.
En cuanto a los accidentes de tráfico, cabría destacar, según los resultados del estudio y de otros autores24-26, las medidas de prevención primaria como el método principal para intentar disminuir la mortalidad. De entre ellas, cabe destacar la información y formación vial de la población, que correspondería a diferentes organismos oficiales, entre ellos a la Dirección General de Salud. Tradicionalmente, la actividad médica ha centrado sus esfuerzos en la labor asistencial del traumatizado y en la rehabilitación de sus lesiones. Su participación en actividades preventivas ha sido muy escasa o más bien nula, a pesar del importante papel que podemos desarrollar desde diferentes ámbitos. En el primer eslabón de la cadena asistencial cabe destacar al profesional sanitario de atención primaria de salud, ya que se encuentra en una posición privilegiada para actuar en la prevención de estos accidentes. Esto es posible gracias a su intervención en conductas de riesgo (alcoholismo y consumo de drogas), la correcta utilización de medicamentos, la capacidad para detectar enfermedades asociadas y la posibilidad de fomentar la utilización de los dispositivos de seguridad (airbag, casco, cinturón, etc.). Recientemente, el Ministerio de Sanidad y Consumo, en colaboración con la Sociedad Española de Medicina de Familia y Comunitaria (semFYC), ha puesto en marcha la campaña de prevención de los accidentes de vehículos a motor desde el ámbito sanitario de la atención primaria de salud27. Se han elaborado materiales educativos (una guía y unos folletos) que inicialmente han sido distribuidos a más de 500 centros de salud adscritos a las 17 comunidades autónomas. En el eslabón final de la cadena asistencial sanitaria están los servicios de urgencias, traumatología y de medicina intensiva, que también podrían contribuir en la tarea de prevención primaria mediante una promoción de la educación vial en sus respectivas áreas de influencia.
En materia de prevención secundaria orientada hacia las "muertes potencialmente evitables" con ISSa bajos, sólo cabe considerar la identificación temprana de las lesiones vitales28,29, especialmente craneoencefálicas y torácicas, así como en una asistencia sanitaria apropiada prehospitalaria y hospitalaria. Para ello, sería razonable que tanto los profesionales sanitarios de las unidades de SPVA como los de la red hospitalaria comarcal y terciaria consensuaran las diversas estrategias asistenciales a lo largo de todo el circuito traumatológico. Como punto de partida, sería preciso que dispusieran de los correspondientes indicadores clinicoepidemiológicos y asistenciales de su región. Por otra parte, el estudio multidisciplinario de la "mortalidad evitable" proporcionaría una información valiosa para priorizar la actuación sanitaria. Probablemente, convendría profundizar en el estudio de las muertes ocurridas en hospitales comarcales, ya que aunque en comparación con el hospital terciario no hemos encontrado diferencias en la gravedad lesional ISSa y AISa, parece apropiado que, salvo casos excepcionales, el paciente politraumatizado sea conducido al hospital de referencia. No obstante, y como se ha demostrado en anteriores trabajos2, ninguna fase del cuidado traumatológico escapa a la "mortalidad evitable".
En relación con los fallecimientos por suicidio, éstos constituyen en Europa la segunda causa de mortalidad en personas con edades entre 15 y 44 años30. Según nuestros resultados, también las personas de edad avanzada presentaban una elevada incidencia de muerte por suicidio. Por ello, éste debe ser considerado como un problema de salud pública31,32, lo que implicaría un mayor número de programas de promoción de la salud mental dirigidos, desde diversas instancias y organismos oficiales, a la población infantil y adulta. Los centros de atención primaria y de salud laboral constituyen el soporte en la práctica clínica para llevar a cabo, mediante los marcadores de riesgo correspondientes, el primer cribado entre los colectivos considerados de máximo riesgo. Asimismo, pueden ser el lugar adecuado para llevar a la práctica programas de promoción de salud mental. Por otra parte, los "temidos lunes" deberían ser considerados, según nuestros resultados, como otro indicador de riesgo de suicidio a tener en cuenta en personas con un perfil psicológico de alto riesgo. En las unidades y centros de salud mental correspondería intervenir de manera específica en las afecciones psiquiátricas que comportan mayor riesgo.
En cuanto a los fallecimientos por accidentes laborales, no hemos considerado objetivo de estudio las causas que los provocaron, ni tampoco los sectores ni las circunstancias específicas en las que se desarrollaron. Se estima que un millón de personas mueren al año, en el mundo, por accidentes laborales o enfermedades profesionales33. Tradicionalmente, la mayor siniestralidad ha incidido en la construcción, la minería y la agricultura, por lo que deberían ser considerados objetivos prioritarios de intervención. Todas las empresas deben llevar a cabo una evaluación de los riesgos laborales, así como fomentar y controlar el cumplimiento de las medidas de prevención primaria, contempladas en la ley de Prevención de Riesgos Laborales34. En nuestra Comunidad Autónoma, el Instituto Vasco de Seguridad y Salud Laboral (OSALAN)35 se encarga de gestionar las políticas generales de Salud Laboral, dedicándose a estudiar los diferentes factores de riesgo laboral y a prevenirlos.
Como conclusión final, este trabajo, junto con otros anteriormente llevados a cabo2-10,26,28, nos ha permitido obtener un mayor conocimiento epidemiológico autópsico de la mortalidad traumática acaecida en nuestra región durante un período de 5 años y, en consecuencia, sugerir propuestas para la mejora del funcionamiento del sistema de cuidado traumatológico. El gran volumen de autopsias estudiado podría ser considerado como soporte adecuado para los estudios de prevención y evaluación de la calidad asistencial traumatológica.
Consideramos como herramienta básica del Proyecto POLIGUITANIA la creación de un registro traumatológico, cuyos objetivos son el estudio de la morbimortalidad del traumatismo severo desde una perspectiva global y compartir la información obtenida con todos los colectivos interesados en el tema.
Creemos que las conclusiones obtenidas en nuestro estudio pueden ser extrapolables a otras poblaciones similares con un gran rigor y robustez, por ser una muestra representativa y muy cualificada de esta población.
*Grupo de trabajo POLIGUITANIA: Servicio de Medicina Intensiva. Hospital Donostia. San Sebastián: Marco P, Laviñeta E, Mintegui I, Murguialdai A, Reviejo K, Lara G, Zubia F y González-Sañudo A. Unidad de Emergencias Osakidetza de Guipúzkoa: Olano JM, Fernández A, Unanue J y Merino M. Instituto Anatómico Forense. Guipúzkoa: Aranzábal R, Baigorri MC, Carnicero MA, Goenaga L, Landa I, Lezáun J, Pinedo PX, Pradini I, Querejeta L, Ramírez A y Verano V. Servicio SAMU 64 y Urgencias del Centro Hospitalario de la Còte Basque de Bayona: Darpeix J, Campagne JM, Monki T, Bonnemaison N, Lalane E, Brillaxis P, Mathieu P, Mariescu M, Goulard J, N'guyen P y Michaudel P. http://www.semicyuc.org/sp/fcontinuada/poliguitania/upload/index.htm















