INTRODUCCION
En los últimos años han aparecido varios documentos de consenso sobre la asistencia al paciente con infarto agudo de miocardio (AIM) que, apoyándose en los resultados de los grandes ensayos clínicos y en los metaanálisis de los mismos, han establecido normas de actuación en el tratamiento de estos pacientes1-6. De acuerdo con las directrices de estos documentos, fármacos como los trombolíticos, el ácido acetilsalicílico (AAS), los bloqueadores beta (BB) y los inhibidores de la enzima conversiva de la angiotensina (IECA) deberían estar presentes en el arsenal terapéutico del IAM.
A pesar de los esfuerzos por mejorar y homogeneizar la asistencia al paciente con IAM y de las recomendaciones terapéuticas apoyadas en la metodología de la medicina basada en la evidencia, existe una considerable variabilidad entre los distintos países7-9 y regiones10, e incluso entre los hospitales de un mismo país11, en la aplicación de estas recomendaciones. Por otra parte, en muchos centros transcurre a veces un tiempo considerable entre la publicación de estas guías y la puesta en marcha de los cambios terapéuticos propuestos11.
El objetivo de este trabajo es analizar el grado de homogeneidad y la evolución temporal de la administración de los fármacos recomendados en el tratamiento del IAM en los pacientes incluidos en el estudio PRIMVAC (Proyecto de Registro de Infarto de Miocardio de Valencia, Alicante y Castellón).
MÉTODOS
El estudio PRIMVAC se inició en 1995 e incluye a los pacientes dados de alta de 17 unidades de cuidados intensivos coronarias (UCIC) de la Comunidad Valenciana con el diagnóstico de IAM. Las características de los hospitales participantes, su cobertura poblacional, la metodología de recogida de datos, la definición operativa de las variables y los resultados del primer año del registro han sido recientemente publicados12. La metodología del registro incluye reuniones trimestrales de los investigadores, en las que se comentan los resultados. Cada hospital se identifica por un código que es conocido únicamente por el encargado del mantenimiento de la base de datos y por los investigadores del propio hospital. Doce de los 17 hospitales han permanecido de forma ininterrumpida en el PRIMVAC desde su inicio, y han recogido 6.752 episodios de IAM desde el 1 de enero de 1995 hasta el 31 de diciembre de 1998. En este trabajo se analiza la variación de las características demográficas, factores de riesgo, antecedentes coronarios, características clínicas y complicaciones del IAM, así como de los tratamientos farmacológicos prescritos en los episodios de IAM registrados en estos 12 hospitales durante 4 años. Se han considerado únicamente los siguientes fármacos: trombolíticos, ácido acetilsalicílico (AAS), inhibidores de la enzima conversiva de la angiotensina (IECA) y bloqueadores beta (BB).
El análisis de la variación en los tratamientos se realizó desde una doble perspectiva: la variación a lo largo del tiempo y la variación entre hospitales.
Para analizar la variación en el tiempo se utilizó la prueba de la *2 de tendencias de Mantel-Haenszel cuando la variable dependiente era cualitativa, o el test de ANOVA cuando era cuantitativa. La variabilidad entre centros se analizó mediante el coeficiente de variabilidad (CV), obtenido mediante la fórmula desviación estándar/media * 100. Se asumió un riesgo alfa de 0,05 y se consideró una variabilidad baja cuando el CV < 20%. Los cálculos se realizaron con el paquete estadístico SPSS y los gráficos con el programa PRISM.
RESULTADOS
Características demográficas y factores de riesgo
Los cambios de estas variables a lo largo de los 4 años se exponen en la tabla 1. No se detectaron variaciones significativas, salvo en los antecedentes de hipercolesterolemia (p < 0,05).
Características y complicaciones del infarto agudo de miocardio
La evolución de las características y complicaciones más importantes del IAM se observan en la tabla 2, en la que destaca la ausencia de variaciones significativas en las variables consideradas.
Evolución del tratamiento farmacológico del infarto agudo de miocardio
En la tabla 3 se señalan los cambios en la utilización de los fármacos considerados. El uso de los fármacos trombolíticos se incrementó significativamente (p < 0,0001) desde el 42,5 al 49%. La administración de AAS pasó del 88 al 90% (p < 0,01) y de los IECA del 27,2 al 39,8% (p < 0,0001). No se observaron variaciones significativas en el uso de BB.
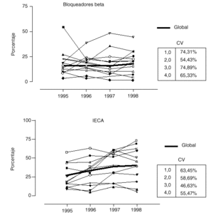
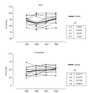
Evolución temporal del coeficiente de variabilidad intercentros en el tratamiento farmacológico del infarto agudo de miocardio
Con la excepción del AAS, existe un coeficiente de variabilidad intercentros que supera ampliamente el 20% (tabla 4). La dispersión permanece estable en el AAS (fig. 1) y tiende a amortiguarse ligeramente a lo largo de los 4 años en el caso de los fármacos trombolíticos (fig. 1), IECA (fig. 2) y BB (fig. 2).
Fig. 1. Evolución del tratamiento con aspirina y trombólisis en los hospitales del PRIMVAC durante 4 años. AAS: aspirina; CV: coeficiente de variabilidad.
Fig. 2. Evolución del tratamiento con bloqueadores beta e inhibidores de la enzima conversiva de la angiotensina (IECA) en los hospitales del PRIMVAC durante 4 años. CV: coeficiente de variabilidad.
DISCUSION
La información sobre la homogeneidad en el tratamiento del IAM en España en poblaciones no seleccionadas es todavía escasa. Algunos trabajos han demostrado las diferencias en la utilización de procedimientos diagnósticos y terapéuticos entre los hospitales participantes en un registro11. Otros han descrito las variaciones temporales en un mismo hospital13. El presente trabajo es el primero en describir las variaciones temporales y el grado de homogeneidad de la administración de fármacos en los pacientes con IAM dados de alta de las UCIC de un grupo de hospitales integrados en un registro activo, el PRIMVAC, con una cobertura poblacional que alcanza la mayor parte de la Comunidad Valenciana12.
Datos demográficos, antecedentes coronarios y factores de riesgo. Características del infarto agudo de miocardio y complicaciones
Las variaciones temporales en los fármacos analizados podrían teóricamente estar en relación con cambios en la población estudiada. El análisis de las variables demográficas (edad y sexo), antecedentes de IAM y factores de riesgo (hipertensión arterial, dislipemia, tabaquismo y diabetes) no presenta variaciones en los 4 años considerados, salvo la pequeña modificación, que en este trabajo parece poco relevante, de los antecedentes de hipercolesterolemia. Otros estudios que han considerado intervalos mayores en el análisis de los cambios han encontrado variaciones temporales en algunas de estas variables. Así, Echanove et al describen un aumento de la edad y de los antecedentes de hipertensión, diabetes y dislipemia, y una disminución de los antecedentes de tabaquismo, a lo largo de los 15 años estudiados13.
La modificación de las características electrocardiográficas del IAM (anterior o inferior, con o sin onda Q) y de las complicaciones mecánicas o isquémicas podrían condicionar los cambios temporales en los fármacos considerados. Ninguna de estas variables evidenció cambios que alcanzaran significación estadística.
Evolución del tratamiento farmacológico del infarto agudo de miocardio
La trombólisis constituye uno de los pilares fundamentales en el tratamiento del IAM. La utilización de fármacos trombolíticos se ha incrementado significativamente en el período analizado, desde el 42,5% en 1996 al 49% en 1999. El porcentaje de pacientes sometidos a trombólisis en 1996 es similar (43,3%) al señalado en el estudio RICVAL14 y al comunicado en el PRIAMHO11,15,16, y el de pacientes sometidos a esta terapéutica en 1999 (49%) más próximo al señalado (54%) en una publicación del mismo año del proyecto ARIAM17. Es posible que una mayor experiencia en la utilización de la trombólisis haya hecho disminuir el número de contraindicaciones a la administración de estos fármacos. Otra circunstancia que podría haber influido es que, a excepción de un hospital, el resto de los centros no han desarrollado la infraestructura necesaria para proporcionar de forma ininterrumpida la técnica de la angioplastia primaria. El único hospital con disponibilidad ininterrumpida de esta técnica comunicaba recientemente un descenso de la trombólisis desde el 41,7% en 1992-1994 al 28,8% en 1995-1998, período este último en que se realizó angioplastia primaria en el 39,7% de los casos13.
El AAS, considerado también en la actualidad uno de los pilares fundamentales en el tratamiento del IAM, se incremento sólo en un 2%. Sin embargo, hay que considerar que su utilización al principio del estudio ya alcanzaba el 88%, cifra similar a la comunicada en otros estudios y registros10,11,14,18-20 y muy cercana, probablemente, al máximo porcentaje alcanzable habida cuenta de las contraindicaciones habituales.
Los beneficios de la administración precoz de los IECA en el IAM han sido demostrados en varios estudios21-23. Las guías de actuación en el tratamiento del IAM del ACC-AHA3,6, de la Sociedad Europea de Cardiología4 y de la Sociedad Española de Cardiología2,5 recomiendan su utilización al menos en los IAM con deterioro de la función ventricular (FEVI < 40%), en los IAM de localización anterior y en aquellos que se acompañan de insuficiencia ventricular izquierda. La administración de estos fármacos parece haber evolucionado de acuerdo con estas recomendaciones, y es posible que estén cerca del máximo teórico real, habida cuenta de la proporción de IAM de localización anterior y de la de insuficiencia ventricular izquierda grados 2 y 3 de Killip.
En nuestro registro, que contempla únicamente los fármacos administrados en la UCI, los BB son poco utilizados en el IAM y su uso no se incrementó significativamente entre 1995 (15,4%) y 1998 (17,3%). Estas cifras están muy por debajo de las de otros registros9,18-20, que señalan cifras que oscilan entre el 36% y el 84%, y parecen estar en discordancia con las recomendaciones de los documentos de consenso para el tratamiento del IAM a los que hemos hecho referencia anteriormente. Sin embargo, hay que recordar que el papel de la utilización de los BB en el tratamiento del IAM en la era trombolítica no está todavía bien delimitado si nos atenemos a los datos de la medicina basada en la evidencia. Así, en un subestudio del TIMI-IIB24, la administración temprana de metoprolol en los pacientes sometidos a tratamiento trombolítico con t-PA no fue seguida de una disminución en la mortalidad. En la época anterior a la trombólisis, la reducción en la mortalidad obtenida mediante la administración de atenolol o de metoprolol fue muy pequeña tanto en el estudio MIAMI25, en que tras administración temprana de metoprolol se consiguió salvar 6 casos por cada 1.000 pacientes tratados, como en el ISIS-126, en que se consiguió también salvar el mismo número de casos mediante la administración temprana de atenolol. Por otra parte, el grupo control de estos dos últimos estudios ofrecía una mortalidad muy baja (4,3% en el ISIS-1 y 4,9% en el MIAMI), lo que permite sospechar que se trataba de poblaciones muy seleccionadas.
Evolución temporal de la variabilidad intercentros
Existe en nuestro registro una gran variabilidad entre los hospitales participantes en la utilización de los fármacos analizados, de forma que, con excepción del AAS, el coeficiente de variabilidad supera el 20%. En el caso de la trombólisis, terapéutica aceptada como de obligada utilización salvo contraindicaciones, el abanico de la dispersión oscila entre el 25% y el 75%. El uso de los IECA y de los BB ofrece también una gran dispersión. Las diferencias entre hospitales, entre regiones y entre países en la utilización de procedimientos diagnósticos y terapéuticos en la cardiopatía isquémica aguda han sido objeto, en los últimos años, de distintas publicaciones que señalan amplias variaciones7-11. En España, los resultados del registro PRIAMHO11, que recoge datos de 22 hospitales de varias regiones de España, presentan también una gran dispersión en la administración de fármacos en el IAM.
La evolución temporal de la variabilidad en el tratamiento farmacológico del IAM ha sido poco estudiada y no está claramente establecido si esta variabilidad decrece con el tiempo27. Una aproximación a este problema exigiría que los datos correspondan a un registro que permanezca activo y que los mismos hospitales permanezcan ininterrumpidamente en el registro. Estas condiciones, presentes en nuestro registro, permiten analizar los cambios en la variabilidad en intervalos frecuentes y regulares. Por otra parte, el hecho de que la cobertura poblacional de nuestro registro corresponda a la mayor parte de la Comunidad Valenciana hace que, a diferencia de los de otras publicaciones, nuestros datos puedan considerarse muy próximos a las variaciones reales de la administración de los fármacos analizados en una comunidad autónoma española con una población en torno a los cuatro millones de habitantes.
A pesar de que el período de 4 años es relativamente corto, se observa una tendencia a la disminución del coeficiente de variabilidad en la administración de fármacos trombolíticos, IECA y BB. Las causas de este descenso en la dispersión pueden ser varias: la facilidad de la comunicación de los nuevos conocimientos, la difusión cada vez más rápida y más amplia de las guías de tratamiento y el interés de la industria farmacéutica en dar a conocer los beneficios demostrados de algunos de sus productos se han señalado como posibles causas de la evolución temporal a una mayor uniformidad en los tratamientos27. Por otra parte, y aunque no se trate de un estudio de intervención, no puede excluirse que el conocimiento de los datos por parte de los investigadores en las reuniones haya originado una cierta regresión a la media, al menos en los hospitales con valores más alejados.
Limitaciones del estudio
El período de seguimiento de 4 años parece relativamente corto para poner de manifiesto posibles variaciones relevantes en la evolución del tratamiento del infarto de miocardio. A pesar de ello, es posible que la magnitud de las variaciones pueda haber sido influida favorablemente por el gran acopio de información aparecida en este tiempo en relación con el uso de los fármacos considerados en el tratamiento del IAM2-6. Los cambios analizados hacen referencia únicamente a la fase de hospitalización en la UCIC. No conocemos en el momento de la publicación la variabilidad y la evolución del tratamiento en otros servicios del hospital y en el momento del alta hospitalaria.
Conclusión
En el registro PRIMVAC existe una importante variabilidad interhospitalaria en la utilización de los fármacos habitualmente recomendados en el tratamiento del IAM, a pesar de las directrices elaboradas por las Sociedades Científicas y de las normas de actuación apoyadas en la evidencia científica. Esta variabilidad tiende a decrecer en el período de 4 años analizado. Los cambios temporales en la utilización de los fármacos parecen ajustarse a las recomendaciones de los documentos de consenso. Es posible que la dinámica del registro con frecuentes reuniones de los investigadores y el desarrollo de nuevas herramientas de comunicación que facilitan la difusión de los conocimientos puedan contribuir a la menor dispersión observada en la evolución temporal del tratamiento del IAM y los cambios observados en el uso de los fármacos.
AGRADECIMIENTO
El Registro PRIMVAC ha sido promovido por INSVACOR y cuenta con la colaboración económica de la Diputación Provincial de Valencia, Asisa, Boehringer Ingelheim, Lacer, MSD, Pfizer, Schering Plough y Uriach.
*Investigadores del PRIMVAC: Hospital General de Alicante: J. Valencia, F. Sogorb, M. Pérez, A. Ibáñez. Hospital de Alcoy: F. Guardiola, F. Amorós, M.J. Marco. Hospital Arnau de Vilanova: M. Francés, L. Cortés, F. Fajarnés, M. García, A. Hervás, C. Tormo. Hospital de Denia: J. Cardona, V. Madrid, A. Gimeno, M. Ortega, F. Tarín, P. Marzal, F. Guillén, J. Serra, M. Burguera. Hospital Dr. Peset: F. Valls, V. Valentín, Ll. Miralles. Hospital de Elche: A. Mota, C. Abad, J. Ruiz, F. García de Burgos. Hospital General de Valencia: I. Echanove, F. Pomar, R. Payá, J.V. Vilar. Hospital Gran Vía: E. González, J.E. Belenguer, J. Monferrer, O. Aznar. IVO: J.P. Calabuig, A. Monteagudo. Hospital La Fe: A. Cabadés, J. Arguedas, M.A. García, M. Palencia. Hospital de Orihuela: A. Montilla. Hospital de Requena: R. Rodríguez, V. Aparicio, C. Álvarez, M. Tejeda. Hospital de Sagunto: V. Parra, V. Lacueva. Hospital de San Juan: F. Colomina, G. Pérez, P. Morillas, V. Bertomeu. Hospital de Villajoyosa: F.J. Criado, A. Navarro, J.M. Carrasco, M.J. Prieto. Hospital de Vinaroz: J. Llorens, J.C. Sanz, E. Tarazona. Clínica Vistahermosa: F. Ballenilla, J. Fuster. Comité externo de control de calidad: V. López Merino, J. Marrugat. Manejo de la base de datos y análisis estadístico: J. Cebrián.








